User Tools

Site Tools


math104-s21:s:zheyuanhu

Questions:

  1. From the lecture on April 15th
    • I cannot think of why $x^2$ is an example of f(x) ≠ P_x0(x)
    • I tried fixing $x_0 = 0$, so $P_0(x) = ∑ c_n \cdot (x)^n$, where $\alpha = lim sup |c_n|^{1/n} = 1$, so $R=1$
    • Then $f(0.5) = 0.25 = P_0(0.5) = 0 + 0 + 1 * 0.5 ^ 2 + 0 + … + 0$
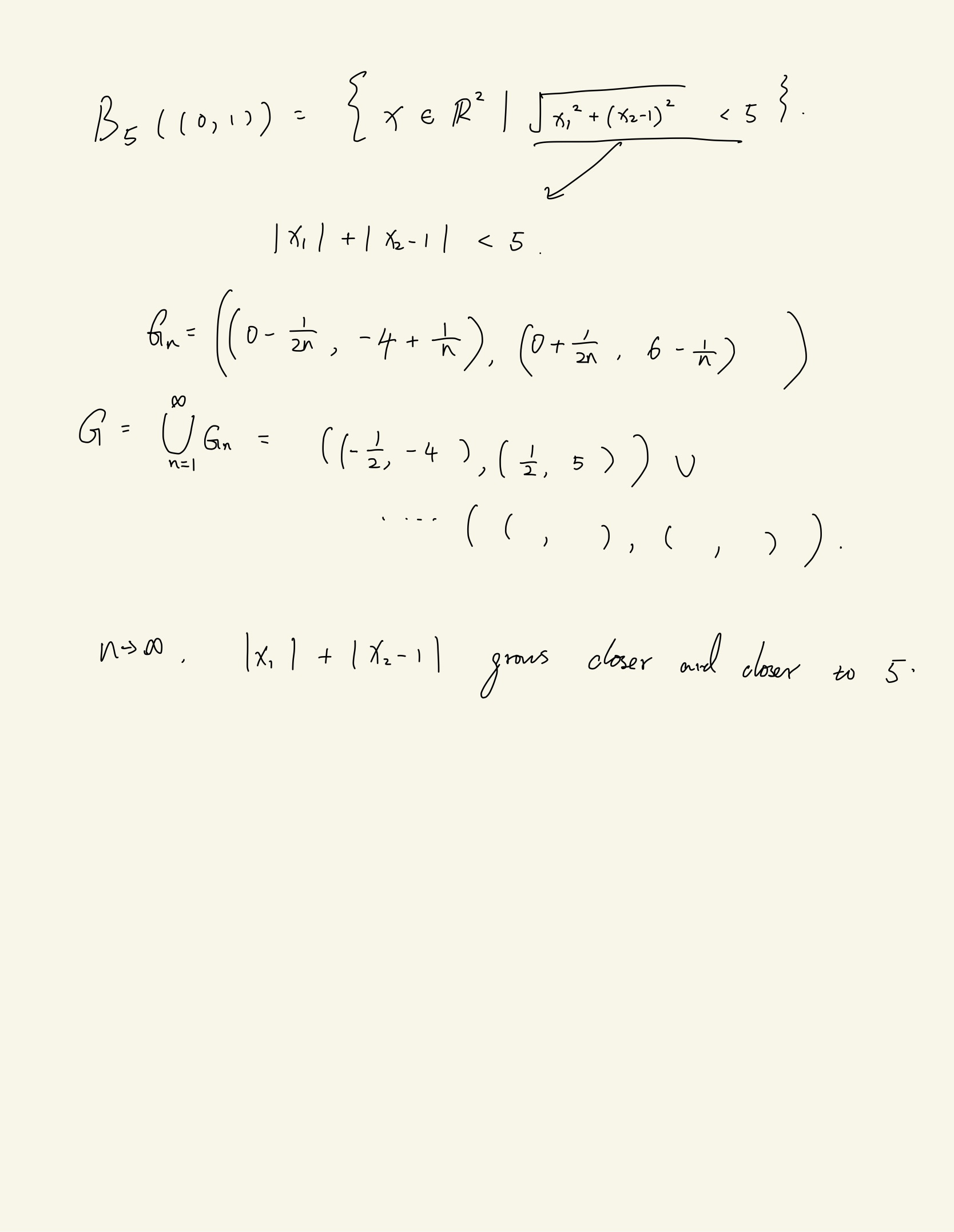
  2. A question from my friend, finding open cover
    1. My attempt:
math104-s21/s/zheyuanhu.txt · Last modified: 2026/02/21 14:41 (external edit)